招生咨询电话:0871-68876543、68303466、68358333
首页
专业介绍
本科专业
专科专业
招生章程
招生动态
招生信息
招生简章
历年分数线
关闭
首页
专业介绍
招生章程
招生动态
招生信息
招考动态
您的位置:
首页
>
招考动态
招考动态
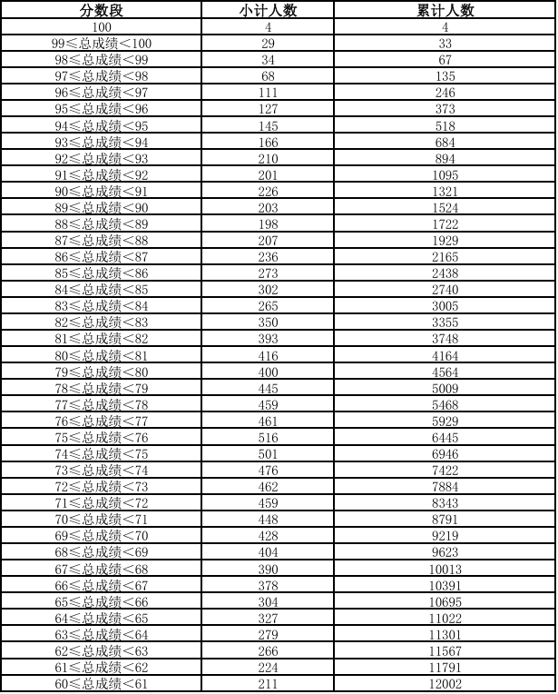
云南省2026年体育专业统考合格考生成绩分数段统计表
时间: 2026-04-08
作者:
点击:
云南省2026年体育专业统考合格考生总成绩分数段统计表
云南省2026年体育专业统考合格考生足球专项成绩分数段统计表
Produced By CMS 网站群内容管理系统 publishdate:2026/04/11 12:48:19